2025MBA報考測評申請中......
說明:您只需填寫姓名和電話即可免費預約!也可以通過撥打熱線免費預約
我們的工作人員會在最短時間內給予您活動安排回復。
導讀:有同學問起數學可不可以做個便于記憶的干貨總結。MBA聯考中,數學是讓人解題頭疼的一門學科,一步錯了全盤皆輸,想要拿分就得清楚題中涉及的各種公式,今天小編將數學考題中常見的必考公式匯總,查漏補缺趕緊牢記~
絕對值

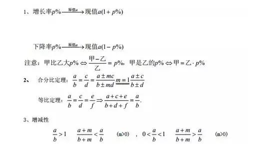
比和比例

平均值

方程

不等式

數列


說明:您只需填寫姓名和電話即可免費預約!也可以通過撥打熱線免費預約
我們的工作人員會在最短時間內給予您活動安排回復。
絕對值







社科賽斯官方微信
社科賽斯官方微博
相關熱詞搜索: MBA 2018MBA MBA數學 MBA考試科目
【版權與免責聲明】 如發現內容存在版權問題,煩請提供相關信息發郵件至service@mbaschool.com.cn,我們將及時溝通與處理。本站內容除非來源注明社科賽斯,否則均為網絡轉載,涉及言論、版權與本站無關。
2025考生福利